• 首页
  • 信息公开
    • 单位简介
    • 党支部
    • 通知
    • 工作动态
    • 政策法规
    • 政务公开
    • 房地产市场信息
    • 权力运行公开
  • 商品房业务室
    • 办事指南
    • 预售信息公示
    • 楼盘项目大全
    • 商品住宅月销排行榜
    • 表格下载
    • 咨询电话
  • 二手房业务室
    • 政策法规及解读
    • 办事指南
    • 二手房签约情况统计
    • 中介机构管理
    • 交易资金监管
    • 表格下载
    • 咨询电话
  • 住房保障业务室
    • 政策法规及解读
    • 办事指南
    • 表格下载
    • 图片资料
    • 咨询电话
  • 行业动态
  • 网上办事
    • 附件下载
    • 业务系统
  • 公众服务
    • 开发企业公示
    • 中介机构公示
    • 保障性住房
    • 商品房
关键字
文章内容

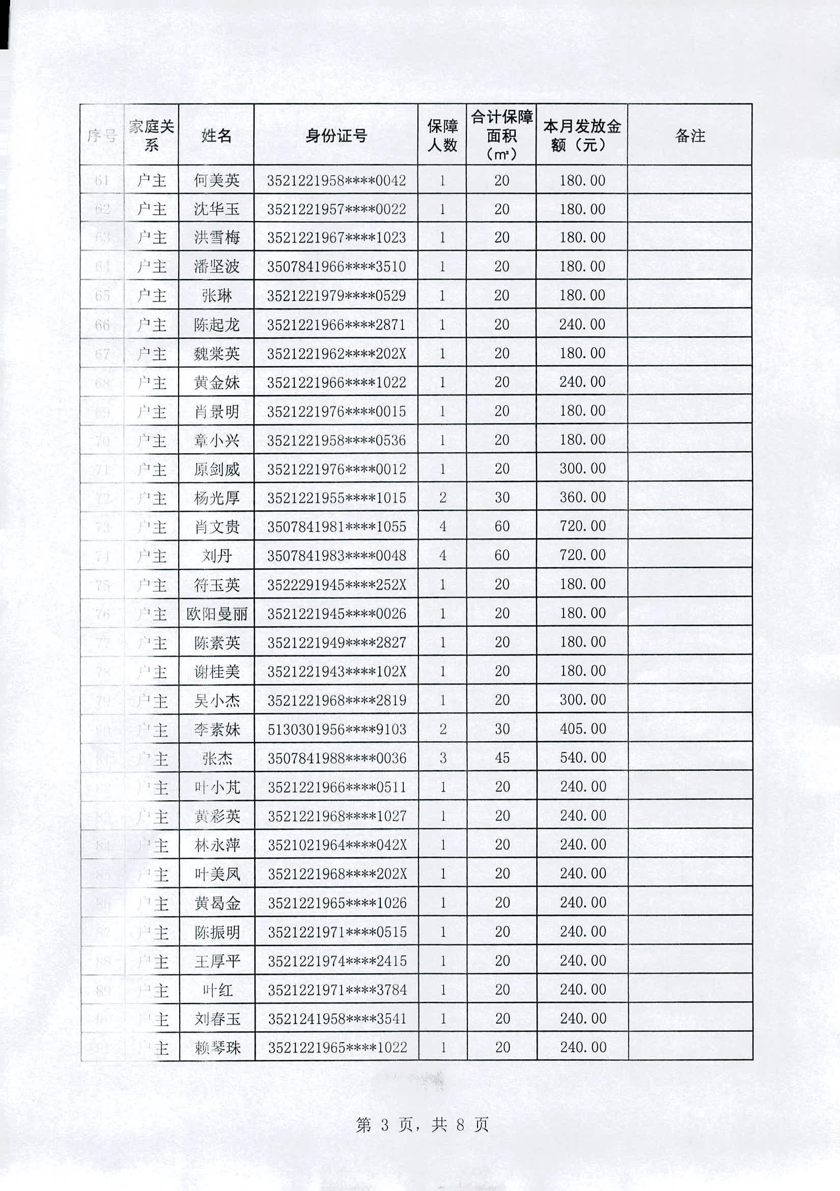
建阳区2022年公共租赁住房租赁补贴十二月发放明细

发布时间:2022/12/16 15:19:42 浏览次数:3642 文章来源:    发布机构:南平市建阳区住房保障和房地产交易中心



©2025 建阳房地产信息网 www.jyfdc.com 版权所有 未经许可,不得转载、复制和建立镜像。闽ICP备14012821号-1
主办:南平市建阳区住房保障和房地产交易中心  电话:0599-5822570
联系地址:南平市建阳区人民路15号南平市建阳区住房保障和房地产交易中心
技术支持:福州翔升软件开发有限公司 电话:0591-87640886
您是第230393318位访问者

闽公网安备 35078402010029号